2025 වසරේ ජනවාරි මස 01 දින සිට ක්රියාත්මක වන පරිදි රාජ්ය සේවයේ වැටුප් හා දීමනා ඉහළ නැංවීම සඳහා වූ නිර්දේශ ඇතුළත් ජනාධිපති විශේෂඥ කමිටුවේ අවසන් වාර්තාව අනුව තවත් ක්ෂේත්ර කිහිපයක මූලික වැටුප් වැඩි කෙරෙයි.
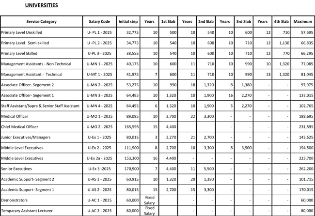
ඒ අනුව, පාර්ලිමේන්තු සේවා, නීතිපති දෙපාර්තමේන්තුව සහ නීති කෙටුම්පත් සම්පාදක දෙපාර්තමේන්තුව, විශ්වවිද්යාල සේවා, අධිකරණ සේවය, රාජ්ය අංශය සහ රාජ්ය හිමිකාරීත්වය දරණ ආයතනවල (SOE) වැටුප් පහත පරිදි වැඩි කෙරෙයි.
වැඩි විස්තර පහතින් දැක්වෙයි,














